品牌展示
- YUKEN油研液压
- REXROTH液压泵
- VICKERS液压油泵
- DAIKIN液压油泵
- PARKER液压油泵
- NACHI液压油泵
- DENISON液压油泵
- Marzocchi齿轮泵
- Sumitomo齿轮泵
- Danfoss液压泵
- Berarma叶片泵
- YEOSHE液压泵
- 东京计器液压泵
- SALAMI齿轮油泵
- VIVOIL齿轮油泵
- CASAPPA齿轮泵
- Caproni齿轮油泵
- Bucher齿轮泵
- HESPER齿轮泵
- HYDAC齿轮泵
- Roquet齿轮泵
- Bondioli齿轮泵
- Jihostroj齿轮泵
- Duplomatic迪普马
- METARIS齿轮泵
- ATOS齿轮油泵
- KRACHT齿轮泵
- Brevini齿轮油泵
- RONZIO齿轮泵
- 沃尔沃齿轮泵
- Commercial液压泵
- LINDE液压油泵
- HAWE液压油泵
- Kawasaki液压泵
- 赫格隆液压马达
- 力士乐减速机
- 其他齿轮泵
- 维修服务
最新动态
- 01派克pgp517b052双联齿轮泵,力士乐变量柱塞泵a10vso28dfr1/31r-vpa12n00
- 02YUKEN油研电磁阀dsg-01-3c3-d24-n1-50价格,型号说明
- 03挖机液压泵维修,卡特挖机液压泵的维修步骤
- 04REXROTH力士乐AZPF,AZPB,AZPN系列齿轮泵性能参数及特征
- 05PARKER派克轴向柱塞泵PV028R1K1T1N-MMC价格,性能参数及使用说明
- 06日本东京计器柱塞泵P16V,P21V,P100V,P70V系列型号大全,性能参数
- 07台湾油昇yeoshe柱塞泵型号大全,特征及应用
- 08VIVOIL齿轮泵,VIVOIL液压齿轮泵/马达型号大全,特征及应用说明
- 09A3H泵有哪些型号? YUKEN油研A3H系列高压变量柱塞泵有哪些优势


QX系列Bucher布赫高压内齿轮泵
品牌类型:
发布时间:
Bucher齿轮泵
2022-12-20 11:38:11
温馨提示:由于产品型号太多,网站只能列出部分产品信息。如您在网站中未能找到您需要的型号,请咨询我们的在线客服!
咨询热线:13686884195 / 0755-29874345
详情介绍
QX系列Bucher布赫高压内齿轮泵:
使用寿命长
流量和压力脉动可忽略,体积效率高
适用于特殊流体,如HFB、HFC、HFD和适用于变速驱动的生物降解物
Bucher QX泵是第五代Bucher内齿轮泵。与以前相比,现在的设计更轻、更紧凑,对简单、坚固的设计进行了许多改进。
新的齿廓也降低了噪音水平;大的密封面积导致更高的效率。
内齿圈由流体动力/静液压润滑膜支撑,允许在低粘度或低速和高速下运行。因此,QX泵适合与变速驱动器一起使用,因为它们可以提供可变的流量。
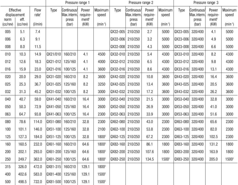
Bucher QX齿轮泵的排量为10.3 cc/rev至495.4 cc/rev:QX21-010 | QX21-012 | QX201-016 | QX31-020 | QX301-025 | QX311-32 | QX41-040 | QX401-050 | QX411-63 | QX51-080 | QX51-100 | QX51-1 25 | QX61-160 | QX61-200 | QX61-250 | QX81-315 | QX81-400 | QX81-500
在整个系列中,连续压力范围为100巴至360巴,峰值压力为400巴,最大转速范围为1800转/分至3600转/分。
QX系列布赫高压内齿轮泵型号及参数:

n=1450 rpm时矿物油允许连续压力下的理论值;压力p=1 bar,转速n=1450 rpm,最大抽吸高度150 mm,转速n=1800 rpm
QX系列布赫高压内齿轮泵型号:
使用寿命长
流量和压力脉动可忽略,体积效率高
适用于特殊流体,如HFB、HFC、HFD和适用于变速驱动的生物降解物
Bucher QX泵是第五代Bucher内齿轮泵。与以前相比,现在的设计更轻、更紧凑,对简单、坚固的设计进行了许多改进。
新的齿廓也降低了噪音水平;大的密封面积导致更高的效率。
内齿圈由流体动力/静液压润滑膜支撑,允许在低粘度或低速和高速下运行。因此,QX泵适合与变速驱动器一起使用,因为它们可以提供可变的流量。
Bucher QX齿轮泵的排量为10.3 cc/rev至495.4 cc/rev:QX21-010 | QX21-012 | QX201-016 | QX31-020 | QX301-025 | QX311-32 | QX41-040 | QX401-050 | QX411-63 | QX51-080 | QX51-100 | QX51-1 25 | QX61-160 | QX61-200 | QX61-250 | QX81-315 | QX81-400 | QX81-500
在整个系列中,连续压力范围为100巴至360巴,峰值压力为400巴,最大转速范围为1800转/分至3600转/分。
QX系列布赫高压内齿轮泵型号及参数:

n=1450 rpm时矿物油允许连续压力下的理论值;压力p=1 bar,转速n=1450 rpm,最大抽吸高度150 mm,转速n=1800 rpm
QX系列布赫高压内齿轮泵型号:
| QX21/010 QX21-012 QX21-016 QX31-020 QX31-025 QX31-032 QX41-040 QX41-050 QX41-063 QX51-080 QX51-100 QX51-125 QX61-160 QX61-200 QX61-250 QX81-315 QX81-400 QX81-500 | QX22-005 QX22-006 QX22-008 QX32-010 QX32-012 QX32-016 QX42-020 QX42-025 QX42-032 QX52-040 QX52-050 QX52-063 QX62-080 QX62-100 QX62-125 QX82-160 QX82-200 QX82-250 | QX23-005 QX23-006 QX23-008 QX33-010 QX33-012 QX33-016 QX43-020 QX43-025 QX43-032 QX53-040 QX53-050 QX53-063 QX63-080 QX63-100 QX63-125 QX83-160 QX83-200 QX83-250 |
![【bv1946官方网站下载地址
】液压元件[液压油泵,电磁阀]一站式服务平台](http://www.longbaobei.com/www/upload/20210127173032768281.png)





